Hex To Binary Chart

Hex To Binary Chart.

1 Interpretations of 8-bit binary numbers Unsigned | Download Table
1 Interpretations of 8-bit binary numbers Unsigned | Download Table (Frank Cunningham)

conversion table decimal hexadecimal octal binary | Decimals, Osi model ...

How to Convert Hex to Binary and Binary to Hexadecimal - Owlcation

What is Hexadecimal Number System? - Binary to Hexadecimal, Octal to ...

Hexadecimal to Binary and Binary to Hexadecimal Conversion Methods ...

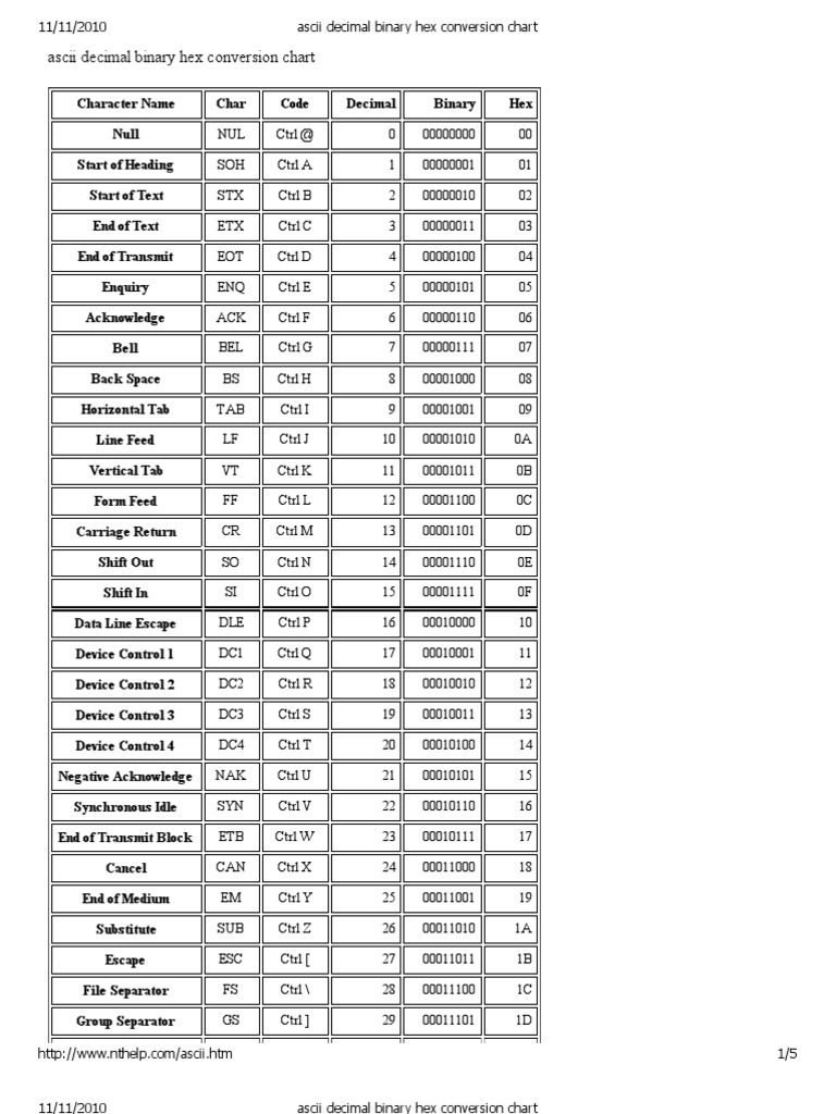
ascii decimal binary hex conversion chart | Orthography | Typographical ...

Download High Quality transparent hex code binary Transparent PNG ...

Numbers in the Binary, Octal, Hex, and BCD Systems in Programmable ...

3 Ways to Convert Binary to Hexadecimal - wikiHow

Negative decimal to binary | INVESTED iQ

How to convert hexadecimal numbers to binary - Quora

Request to Send: TIL: IP Decimal to Hex conversion

Binary number,binary Numbers,binary number system, binary number ...

Judul: Hex To Binary Chart
Rating: 100% based on 788 ratings. 5 user reviews.
Olive Marquez

Thank you for reading this blog. If you have any query or suggestion please free leave a comment below.

0 Response to "Hex To Binary Chart"

Post a Comment